SOLUTION: given:f(x)=x^2-6x/2x^2-11x-6 A. factor the numerator and the denominator B. write domain in set builder notation C. write the domain in interval notation D. Simplify th

Algebra ->  Polynomials-and-rational-expressions -> SOLUTION: given:f(x)=x^2-6x/2x^2-11x-6 A. factor the numerator and the denominator B. write domain in set builder notation C. write the domain in interval notation D. Simplify th      Log On


   



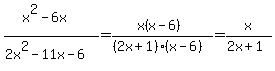
Question 326627: given:f(x)=x^2-6x/2x^2-11x-6
A. factor the numerator and the denominator
B. write domain in set builder notation
C. write the domain in interval notation
D. Simplify the expression

Answer by Fombitz(32388) About Me  (Show Source):
You can put this solution on YOUR website!
a)x%5E2-6x=x%28x-6%29
2x%5E2-11x-6=%282x%2B1%29%28x-6%29
.
.
b)All x except x=-1%2F2
c)(-infinity,-1%2F2) U (-1%2F2,infinity)
.
.
.
d)
.
.
.
graph%28300%2C300%2C-10%2C10%2C-10%2C10%2Cx%2F%282x%2B1%29%29