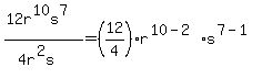
SOLUTION: Hello, ihow do i show my work for this problem 12r^10s^7/4r^2s
Algebra
->
Polynomials-and-rational-expressions
-> SOLUTION: Hello, ihow do i show my work for this problem 12r^10s^7/4r^2s
Log On
Algebra: Polynomials, rational expressions and equations
Section
Solvers
Solvers
Lessons
Lessons
Answers archive
Answers
Click here to see ALL problems on Polynomials-and-rational-expressions
Question 322941
:
Hello, ihow do i show my work for this problem 12r^10s^7/4r^2s
Answer by
Fombitz(32388)
(
Show Source
):
You can
put this solution on YOUR website!