SOLUTION: t^2-13/t-4

Algebra ->  Polynomials-and-rational-expressions -> SOLUTION: t^2-13/t-4      Log On


   



Question 320109: t^2-13/t-4
Answer by Fombitz(32388) About Me  (Show Source):
You can put this solution on YOUR website!
Use polynomial long division.
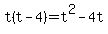
First factor:t
t%28t-4%29=t%5E2-4t
Subtract this product from the original polynomial to get the remainder,
%28t%5E2-13%29-%28t%5E2-4t%29=4t-13
Next factor:4
4%28t-4%29=4t-16
Subtract this product from the remainder to get the new remainder,
%284t-13%29-%284t-16%29=3
No further division is possible.
.
.
.
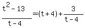
%28t%5E2-13%29%2F%28t-4%29=%28t%2B4%29%2B3%2F%28t-4%29