Question 319327: Given that -1 is a zero of the polynomial g(x)=x^3-3x^2-3x+1, express g(x) as a product of linear factors.
g(x)= Found 3 solutions by stanbon, solver91311, Edwin McCravy:Answer by stanbon(75887) (Show Source):
You can put this solution on YOUR website! Given that -1 is a zero of the polynomial g(x)=x^3-3x^2-3x+1, express g(x) as a product of linear factors.
------------
If -1 is a zero, use synthetic division to find the other factors:
----
-1)....1....-3....-3....1
.......1....-4....1....|..0
-----------
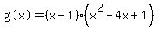
The quadratic factor is x^2-4x+1
---
Use the quadratic formula to find the zeroes:
x = [4 +- sqrt(16-4*1)]/2
x = [4 +- sqrt(12)]/2
---
x = [4 +- 2sqrt(3)]/2
---
x = [2 +- sqrt(3)]
x = 2+sqrt(3) or x = 2-sqrt(3) or x = -1
============================================
Cheers,
Stan H.
=============
If -1 is a zero, then must be a factor of
Use synthetic division or polynomial long division to divide by . Too difficult to render on this site, so review the process at http://www.purplemath.com/modules/synthdiv.htm or http://www.purplemath.com/modules/polydiv2.htm
The quotient comes out to be
Use the quadratic formula to determine the roots of the quotient polynomial are . Verification is left as an exercise for the student.
Hence the remaining two factors of the original polynomial are:
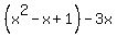
Move the "+1" term:
Factor the first two terms, , as
Factor the last two terms, , as
Factor out
Now we have to find the two zeros of
which is not factorable with integers. So we use the
quadratic formula:
So the other two zeros are
and
or
and
So now
becomes:
Edwin