The zeros and of
are also the zeros of
which is the original divided through by 3, the coefficient of .
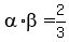
Known facts about the relationships between the coefficients and the
zeros of a monic polynomial tell us that:
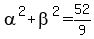
and
Since:
then multiplying both sides by -1:
Squaring both sides:
and now since , we substitute for :
So
--------------------------
1)
We can find that by factoring the sum of two cubes. We already
have values for and .
----------------------------
2)
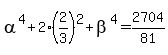
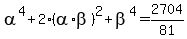
We have
Squaring both sides gives:
And since ,
------------------
You stop there but we could show that
and
and
and
and as far as we like.
Edwin