SOLUTION: What is the solution to: [x+(3/y)] / [y+3]
Algebra
->
Polynomials-and-rational-expressions
-> SOLUTION: What is the solution to: [x+(3/y)] / [y+3]
Log On
Algebra: Polynomials, rational expressions and equations
Section
Solvers
Solvers
Lessons
Lessons
Answers archive
Answers
Click here to see ALL problems on Polynomials-and-rational-expressions
Question 318140
:
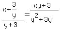
What is the solution to:
[x+(3/y)] / [y+3]
Answer by
jim_thompson5910(35256)
(
Show Source
):
You can
put this solution on YOUR website!
Start with the given expression.
Multiply EVERY term by the inner LCD 'y' to clear out the inner fractions.
So