SOLUTION: I think my teacher is rong about the answer on this one can some one solve it please just to see if hes rong or if im rong. (X/5) - (x+2/3) = 1/15

Algebra ->  Polynomials-and-rational-expressions -> SOLUTION: I think my teacher is rong about the answer on this one can some one solve it please just to see if hes rong or if im rong. (X/5) - (x+2/3) = 1/15      Log On


   



Question 31512: I think my teacher is rong about the answer on this one can some one solve it please just to see if hes rong or if im rong.
(X/5) - (x+2/3) = 1/15

Answer by Cintchr(481) About Me  (Show Source):
You can put this solution on YOUR website!
+%28x%2F5%29+-+%28%28x%2B2%29%2F3%29+=+1%2F15+ Assuming this is the way the problem is it is solved like this:
First, you must find a common denominator. In this case it is 15.
+%28x%2F5%29%283%2F3%29+-+%28%28x%2B2%29%2F3%29%285%2F5%29+=+%281%2F15%29%281%2F1%29+
+%283x%2F15%29+-+%285%28x%2B2%29%2F15%29+=+1%2F15+ since this is an equation, and the denominators are all the same .... drop them.
+3x+-+5%28x%2B2%29+=+1+ Distribute the -5 to the (x+2)
+3x+-+5x+-10+=+1+ combine like terms
+-2x+-+10+=+1+ add 10 to both sides
+-2x+=+11+ divide by -2
+x+=+-11%2F2+
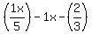
NOW ... if the problem was supposed to be ... +%28x%2F5%29-1%28x%2B%282%2F3%29%29+=+1%2F15+
It is solved like this: Distribute the -1 to the quantity
+%281x%2F5%29-1x-%282%2F3%29%29+=+1%2F15+ add 2/3 to each side
+%281x%2F5%29-1x+=+%281%2F15%29+%2B+%282%2F3%29+ combine the x terms
+-4x%2F5+=+%281%2F15%29+%2B+%282%2F3%29+ find common denom on the right (it is still 15)
+-4x%2F5+=+%281%2F15%29+%2B+%282%2F3%29%285%2F5%29+
+-4x%2F5+=+%281%2F15%29+%2B+%2810%2F15%29+ Combine like terms
+-4x%2F5+=+11%2F15+ multiply both sides by -5/4 to cancel the term with the x
+%28-5%2F4%29%28-4x%2F5%29+=+%2811%2F15%29%28-5%2F4%29+
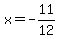
+x+=+%2811%2F15%29%28-5%2F4%29+ cross reduce the fractions and multiply
+x+=+%2811%2F3%29%28-1%2F4%29+
+x+=+-11%2F12+