SOLUTION: I would appreciate if someone could help me simplify this {{{(x+5)/4+(x^2+5x)}}} a. 1/4 b. (x^2)(x+5)^2/4 c. 1/4x

Algebra ->  Polynomials-and-rational-expressions -> SOLUTION: I would appreciate if someone could help me simplify this {{{(x+5)/4+(x^2+5x)}}} a. 1/4 b. (x^2)(x+5)^2/4 c. 1/4x       Log On


   



Question 314721: I would appreciate if someone could help me simplify this
%28x%2B5%29%2F4%2B%28x%5E2%2B5x%29
a. 1/4
b. (x^2)(x+5)^2/4
c. 1/4x

Answer by Edwin McCravy(20067) About Me  (Show Source):
You can put this solution on YOUR website!
%28x%2B5%29%2F4%2B%28x%5E2%2B5x%29
%28x%2B5%29%2F4%2B%28x%28x%2B5%29%29
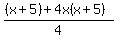
%28x%2B5%29%2F4%2B%284x%28x%2B5%29%29%2F4
%28%28x%2B5%29%2B4x%28x%2B5%29%29%2F4
%28%28x%2B5%29%281%2B4x%29%29%2F4
%28%28x%2B5%29%284x%2B1%29%29%2F4
It doesn't simplify to any of those answers.