SOLUTION: Which numbers cannot be used in place of the variable in the rational expression? 3x/x^2-49
Algebra
->
Polynomials-and-rational-expressions
-> SOLUTION: Which numbers cannot be used in place of the variable in the rational expression? 3x/x^2-49
Log On
Algebra: Polynomials, rational expressions and equations
Section
Solvers
Solvers
Lessons
Lessons
Answers archive
Answers
Click here to see ALL problems on Polynomials-and-rational-expressions
Question 314357
:
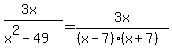
Which numbers cannot be used in place of the variable in the rational expression?
3x/x^2-49
Answer by
Fombitz(32388)
(
Show Source
):
You can
put this solution on YOUR website!
Two values are not allowed.
and
.
They are not allowed since then you would have a division by zero which is undefined.