SOLUTION: simplify rational expressions using -1 as a factor x squared + 3x + 2 over -3x - x squared - 2
Algebra
->
Polynomials-and-rational-expressions
-> SOLUTION: simplify rational expressions using -1 as a factor x squared + 3x + 2 over -3x - x squared - 2
Log On
Algebra: Polynomials, rational expressions and equations
Section
Solvers
Solvers
Lessons
Lessons
Answers archive
Answers
Click here to see ALL problems on Polynomials-and-rational-expressions
Question 31219
:
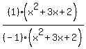
simplify rational expressions using -1 as a factor
x squared + 3x + 2 over -3x - x squared - 2
Answer by
Cintchr(481)
(
Show Source
):
You can
put this solution on YOUR website!
factor out a -1 from the denom and put the trinomial in decending powers
reduce