Your Result:
YOUR ANSWER
- Graphical form: Equation
was fully solved. - Text form: 1/x+1/(1+x)=-3/(x^2+x) simplifies to 0=0
- Cartoon (animation) form:
For tutors: simplify_cartoon( 1/x+1/(1+x)=-3/(x^2+x) )
- If you have a website, here's a link to this solution.
|
DETAILED EXPLANATION
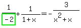
Look at . Replaced x with -2 It becomes .
Look at . Replaced x with -2 It becomes .
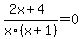
Look at . Added fractions or integers together It becomes .
Look at . Replace constants in expression: , with  It becomes .
Look at . Removed extra sign in front of  It becomes .
Look at . Replaced x with -2 It becomes .
Look at . Replace constants in factor: , with  It becomes .
Look at . Replaced x with -2 It becomes .
Look at . Added fractions or integers together It becomes .
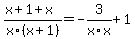
Look at . Remove unneeded parentheses around factor  It becomes .
Look at . Moved these terms to the left  It becomes .
Look at . Added fractions or integers together It becomes .
Look at . Factors 0 and 10 have greatest common factor (GCF) of 10. Reducing fraction. It becomes .
Look at . Since has zero as a factor, it should be replaced with a zero
Look at . Remove extraneous '1' from product  It becomes . Result: 
Universal Simplifier and Solver
Done!
|