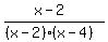
SOLUTION: (x - 2)/(x ^2 - 6x + 8)
Algebra
->
Polynomials-and-rational-expressions
-> SOLUTION: (x - 2)/(x ^2 - 6x + 8)
Log On
Algebra: Polynomials, rational expressions and equations
Section
Solvers
Solvers
Lessons
Lessons
Answers archive
Answers
Click here to see ALL problems on Polynomials-and-rational-expressions
Question 306711
:
(x - 2)/(x ^2 - 6x + 8)
Answer by
nerdybill(7384)
(
Show Source
):
You can
put this solution on YOUR website!