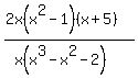
SOLUTION: What is the simplified form of: f(x)= 2x^4 + 10x^3 - 2x^2 - 10x / x^4 - x^3 - 2x? So far I have: (2x^2-2)(x+5)/x(x^3-x^2-2) but i don't know if that is right.

Algebra ->  Polynomials-and-rational-expressions -> SOLUTION: What is the simplified form of: f(x)= 2x^4 + 10x^3 - 2x^2 - 10x / x^4 - x^3 - 2x? So far I have: (2x^2-2)(x+5)/x(x^3-x^2-2) but i don't know if that is right.      Log On


   



Question 281185: What is the simplified form of: f(x)= 2x^4 + 10x^3 - 2x^2 - 10x / x^4 - x^3 - 2x?
So far I have: (2x^2-2)(x+5)/x(x^3-x^2-2) but i don't know if that is right.

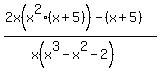
Answer by vleith(2983) About Me  (Show Source):