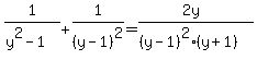
SOLUTION: Good morning guys. Here's my question Simplify. 1 1 ____ + ____ y^2-1 (y-1)^2 I factored the denominators

Algebra ->  Polynomials-and-rational-expressions -> SOLUTION: Good morning guys. Here's my question Simplify. 1 1 ____ + ____ y^2-1 (y-1)^2 I factored the denominators       Log On


   



Question 277767: Good morning guys.
Here's my question
Simplify. 1 1
____ + ____
y^2-1 (y-1)^2
I factored the denominators and have a new equation
1 1
_____ + ______
(y-1)(y+1). (y-1)^2
An the answer I get is

2y
_______________
(y-1)^2 (y+1)
Any help is appreciated!
Thank you!

Answer by jim_thompson5910(35256) About Me  (Show Source):
You can put this solution on YOUR website!
You are correct, 1%2F%28y%5E2-1%29%2B1%2F%28y-1%29%5E2=%282y%29%2F%28%28y-1%29%5E2%28y%2B1%29%29. You can verify this by graphing the two expressions and they should form the same curves.