SOLUTION: Good evening guys. Here's my question. Simplify x+4 - x-3 ____ ____ x-2 x+1 __________ x+1 I factored

Algebra ->  Polynomials-and-rational-expressions -> SOLUTION: Good evening guys. Here's my question. Simplify x+4 - x-3 ____ ____ x-2 x+1 __________ x+1 I factored      Log On


   



Question 277257: Good evening guys.
Here's my question.
Simplify x+4 - x-3
____ ____
x-2 x+1
__________
x+1
I factored the equation
(x+2)(x+2) - (x-1)(x+3)
________ ________
x-2 x+1
_______________________
x+1
I cross cancelled the x+1 terms.
And this I think is my new equation
(x+2)(x+2) - (x-3)
________________
x-2
And then I'm not sure what to do except multiply the terms in the numerator and get
2(5x-1)
______
x-2
Any help is welcome. Thank you!

Found 2 solutions by solver91311, jim_thompson5910:
Answer by solver91311(24713) About Me  (Show Source):
You can put this solution on YOUR website!


I think you are trying to say, at least in part, that the factors of are and . Tell you what -- I'll give you dollars and you give me dollars in return so long as . So if is 1, I give you 5 and you give me 9. If is 10, I give you 14 and you give me 144...

Ok, now that we have debunked that theory, let's look at what we have:



The first thing we need to do is combine the fractions in the numerator. Since there are no common factors between the two denominators, the LCD is simply the product of the two denominators, namely: . Applying the LCD we get:



Expand the three sets of binomials in the numerator using FOIL:



Remove the parentheses in the numerator of the numerator and collect like terms:





Finally, take the denominator -- invert and multiply:






And that is the best you can do with this one.

John


Answer by jim_thompson5910(35256) About Me  (Show Source):
You can put this solution on YOUR website!
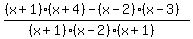
I'm assuming that the expression is %28%28x%2B4%29%2F%28x-2%29+-+%28x-3%29%2F%28x%2B1%29%29%2F%28x%2B1%29


%28%28x%2B4%29%2F%28x-2%29+-+%28x-3%29%2F%28x%2B1%29%29%2F%28x%2B1%29 Start with the given expression.


Multiply EVERY term by the inner LCD %28x-2%29%28x%2B1%29 to clear out the inner fractions.


%28%28x%2B1%29%28x%2B4%29-%28x-2%29%28x-3%29%29%2F%28%28x%2B1%29%28x-2%29%28x%2B1%29%29 Simplify.


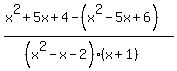
%28x%5E2%2B5x%2B4-%28x%5E2-5x%2B6%29%29%2F%28%28x%5E2-x-2%29%28x%2B1%29%29 FOIL


%28x%5E2%2B5x%2B4-%28x%5E2-5x%2B6%29%29%2F%28x%5E3-3x-2%29 FOIL again.


%28x%5E2%2B5x%2B4-x%5E2%2B5x-6%29%2F%28x%5E3-3x-2%29 Distribute


%2810x-2%29%2F%28x%5E3-3x-2%29 Combine like terms.


So where x%3C%3E2 or x%3C%3E-1