SOLUTION: y^2-2y-3/y^2-2y+1 multiply by y-1/y-3

Algebra ->  Polynomials-and-rational-expressions -> SOLUTION: y^2-2y-3/y^2-2y+1 multiply by y-1/y-3      Log On


   



Question 274706: y^2-2y-3/y^2-2y+1 multiply by y-1/y-3
Answer by jsmallt9(3758) About Me  (Show Source):
You can put this solution on YOUR website!
%28%28y%5E2-2y-3%29%2F%28y%5E2-2y%2B1%29%29%28%28y-1%29%2F%28y-3%29%29
Back when you first learned how to multiply fractions you learned that it made the multiplication easier if you canceled out common factors between the numerators and denominators before you multiplied. For example:


This is still true for multiplying fractions like those in this problem. The factoring is a bit more difficult than with just plain numbers but it is still easier to factor and cancel first. So we are going to start by factoring the numerators and denominators. Then we will cancel common factors, if any, before we multiply:
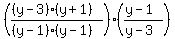
%28%28%28y-3%29%28y%2B1%29%29%2F%28%28y-1%29%28y-1%29%29%29%28%28y-1%29%2F%28y-3%29%29
As you can see, there are common factors to cancel:

leaving:
%28%28y%2B1%29%2F%28y-1%29%29%281%2F1%29
which simplifies to:
%28y%2B1%29%2F%28y-1%29
By canceling common factors the only multiplying we had to do was to multiply by 1!

Note: If you forget to or choose not to factor and cancel before multiplying fractions, then the multiplication is much more difficult (especially with polynomial numerators and denominators). And then, after the multiplication is done, you have to reduce the answer... by factoring and canceling common factors!