SOLUTION: I'm having trouble solving this problem: x/x-2 - x-2/x+2 = ? Can you show me how to work it out?

Algebra ->  Polynomials-and-rational-expressions -> SOLUTION: I'm having trouble solving this problem: x/x-2 - x-2/x+2 = ? Can you show me how to work it out?      Log On


   



Question 274610: I'm having trouble solving this problem:
x/x-2 - x-2/x+2 = ? Can you show me how to work it out?

Answer by ankor@dixie-net.com(22740) About Me  (Show Source):
You can put this solution on YOUR website!
x%2F%28x-2%29 - %28x-2%29%2F%28x%2B2%29
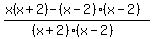
The common denominator will be(x-2)(x+2), so we have:
%28x%28x%2B2%29+-+%28x-2%29%28x-2%29%29%2F%28%28x%2B2%29%28x-2%29%29
:
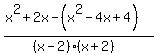
%28x%5E2+%2B+2x++-+%28x%5E2+-+4x+%2B+4%29%29%2F%28%28x-2%29%28x%2B2%29%29%29%29
remove the brackets, change the signs
%28x%5E2+%2B+2x++-+x%5E2+%2B+4x+-+4%29%2F%28%28x-2%29%28x%2B2%29%29%29%29
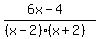
x^2's cancel so you have:
%286x+-+4%29%2F%28%28x-2%29%28x%2B2%29%29%29%29
Factor
%282%283x+-+2%29%29%2F%28%28x-2%29%28x%2B2%29%29%29%29