SOLUTION: I am really stuck on trying to learn this type of equation! Please help me and thank you so much!!!
{{{(7x^5y^5 - 21x^4y^4 + 14x^3y^3)/xy^2z^3}}}
I am not understanding how I mu
Algebra ->
Polynomials-and-rational-expressions
-> SOLUTION: I am really stuck on trying to learn this type of equation! Please help me and thank you so much!!!
{{{(7x^5y^5 - 21x^4y^4 + 14x^3y^3)/xy^2z^3}}}
I am not understanding how I mu
Log On
Question 26929: I am really stuck on trying to learn this type of equation! Please help me and thank you so much!!!
I am not understanding how I must divide these and what even comes first in trying to figure it out. Thank you for all your help!! Answer by bmauger(101) (Show Source):
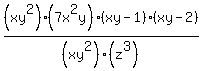
You can put this solution on YOUR website! The first step you should take with this kind of problem is to factor it as far as you can (the top and bottom individually). For the top... look first for common terms, such as a 7 and x^3 and y^3. When you factor those out, you get:
Now you look to see if what you have left in parentheses is a perfect square (no), difference of squares (no), etc. (I'm sure you have a list of the steps you should take when factoring). Then you want to look and see if there are two numbers, that when multiplied together give 2, and when added together give -3. And there are, -2 and -1. This means you can factor further to:
Now that you have the top factored (and the bottom doesn't factor) you check to see which terms cancel (i.e. are the same on the top and the bottom. For this problem you have common on top and bottom an x and a y^2. So you can rewrite your problem as: Canceling the xy^2's gives: