SOLUTION: Simplify by removing factors of 1. 14x^2-686/4x^2-196

Algebra ->  Polynomials-and-rational-expressions -> SOLUTION: Simplify by removing factors of 1. 14x^2-686/4x^2-196      Log On


   



Question 268633: Simplify by removing factors of 1. 14x^2-686/4x^2-196
Found 2 solutions by persian52, jsmallt9:
Answer by persian52(161) About Me  (Show Source):
You can put this solution on YOUR website!
1.14x^(2)-(686)/(4)*x^(2)-196
Reduce the expression -(686)/(4) by removing a factor of 2 from the numerator and denominator.
1.14x^(2)-(343)/(2)*x^(2)-196
Multiply -(343)/(2) by x^(2) to get -(343x^(2))/(2).
1.14x^(2)-(343x^(2))/(2)-196
To add fractions, the denominators must be equal. The denominators can be made equal by finding the least common denominator (LCD). In this case, the LCD is 2. Next, multiply each fraction by a factor of 1 that will create the LCD in each of the fractions.
1.14x^(2)*(2)/(2)-(343x^(2))/(2)-196
Complete the multiplication to produce a denominator of 2 in each expression.
(2.28x^(2))/(2)-(343x^(2))/(2)-196
Combine the numerators of all expressions that have common denominators.
(2.28x^(2)-343x^(2))/(2)-196
Combine all like terms in the numerator.
(-340.72x^(2))/(2)-196
Move the minus sign from the numerator to the front of the expression.
-(340.72x^(2))/(2)-196
Divide -340.72 by 2 to get -170.36.
-170.36x^(2)-196

Answer by jsmallt9(3758) About Me  (Show Source):
You can put this solution on YOUR website!
%2814x%5E2-686%29%2F%284x%5E2-196%29
To simplify the fraction we need to factor the numerator and denominator. And when factoring, always start with the Greatest Common Factor (GCF). The GCF of the numerator is 14 and in the denominator it is 4:
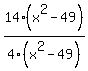
14%28x%5E2-49%29%2F4%28x%5E2-49%29
Normally we would continue factoring. But we can already see a common factor between the numerator and denominator. So we will split the fraction into two:
%2814%2F4%29%28%28x%5E2-49%29%2F%28x%5E2-49%29%29
We can also find a common factor between 14 and 4:
%28%287%2A2%29%2F%282%2A2%29%29%28%28x%5E2-49%29%2F%28x%5E2-49%29%29
which we can now split out:
%287%2F2%29%282%2F2%29%28%28x%5E2-49%29%2F%28x%5E2-49%29%29
The last two fractions are 1's:
%287%2F2%29%2A1%2A1
which leaves
7%2F2 as the simplified fraction.