SOLUTION: solve for x 4x(x-9)-5x(x-8)=-5
Algebra
->
Polynomials-and-rational-expressions
-> SOLUTION: solve for x 4x(x-9)-5x(x-8)=-5
Log On
Algebra: Polynomials, rational expressions and equations
Section
Solvers
Solvers
Lessons
Lessons
Answers archive
Answers
Click here to see ALL problems on Polynomials-and-rational-expressions
Question 266442
:
solve for x 4x(x-9)-5x(x-8)=-5
Answer by
jim_thompson5910(35256)
(
Show Source
):
You can
put this solution on YOUR website!
Start with the given equation.
Add 5 to both sides.
Combine like terms.
Notice that the quadratic
is in the form of
where
,
, and
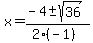
Let's use the quadratic formula to solve for "x":
Start with the quadratic formula
Plug in
,
, and
Square
to get
.
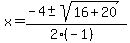
Multiply
to get
Rewrite
as
Add
to
to get
Multiply
and
to get
.
Take the square root of
to get
.
or
Break up the expression.
or
Combine like terms.
or
Reduce.
So the solutions are
or