SOLUTION: How do simplify that equation 15y^2-30y-45 ___________ _ <---thats supposed to look like a fraction 5y^2+10y-15

Algebra ->  Polynomials-and-rational-expressions -> SOLUTION: How do simplify that equation 15y^2-30y-45 ___________ _ <---thats supposed to look like a fraction 5y^2+10y-15       Log On


   



Question 265294: How do simplify that equation
15y^2-30y-45
_____________ <---thats supposed to look like a fraction
5y^2+10y-15

Answer by ankor@dixie-net.com(22740) About Me  (Show Source):
You can put this solution on YOUR website!
How do simplify that equation
:
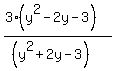
%2815y%5E2-30y-45%29%2F%285y%5E2%2B10y-15%29
Note that you can factor out 15 in the numerator and 5 in the denominator
%2815%28y%5E2-2y-3%29%29%2F%285%28y%5E2%2B2y-3%29%29
5 cancels into 15
%283%28y%5E2-2y-3%29%29%2F%28%28y%5E2%2B2y-3%29%29
Factor some more, but that won't help us; you can leave it like it is above.
%283%28y-3%29%28y%2B1%29%29%2F%28%28y%2B3%29%28y-1%29%29