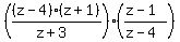
SOLUTION: multiply. write your answer in lowest terms. (z^2-3z-4)/(z+3)* (z-1)/(z-4)
Algebra
->
Polynomials-and-rational-expressions
-> SOLUTION: multiply. write your answer in lowest terms. (z^2-3z-4)/(z+3)* (z-1)/(z-4)
Log On
Algebra: Polynomials, rational expressions and equations
Section
Solvers
Solvers
Lessons
Lessons
Answers archive
Answers
Click here to see ALL problems on Polynomials-and-rational-expressions
Question 263171
:
multiply. write your answer in lowest terms.
(z^2-3z-4)/(z+3)* (z-1)/(z-4)
Answer by
drk(1908)
(
Show Source
):
You can
put this solution on YOUR website!
Here is the original question:
(i)
step 1 - factor all binomials if possible. we get
(ii)
step 2 - cancel the z-4 to get
(iii)