SOLUTION: If a^2 + b^2 = 11 and ab=3, what does (a + b)^2 and (a-b)^2 equal? thnx

Algebra ->  Polynomials-and-rational-expressions -> SOLUTION: If a^2 + b^2 = 11 and ab=3, what does (a + b)^2 and (a-b)^2 equal? thnx      Log On


   



Question 261445: If a^2 + b^2 = 11 and ab=3, what does (a + b)^2 and (a-b)^2 equal? thnx
Found 2 solutions by palanisamy, drk:
Answer by palanisamy(496) About Me  (Show Source):
You can put this solution on YOUR website!
Given, a^2 + b^2 = 11 and ab=3
Now, (a+b)^2 = a^2+b^2+2ab = 11+2*3 = 11+6 = 17
Next, (a-b)^2 = a^2+b^2-2ab = 11-2*3 = 11-6 = 5

Answer by drk(1908) About Me  (Show Source):
You can put this solution on YOUR website!
We j=have the following:
a%5E2+%2B+b%5E2+=+11
ab=3
--
Now,
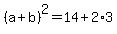
%28a%2Bb%29%5E2+=+a%5E2+%2B+2ab+%2B+b%5E2
from above, we substitute to get
%28a%2Bb%29%5E2+=+14+%2B+2%2A3
or
%28a%2Bb%29%5E2+=+20
--
next,
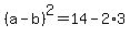
a-b%29%5E2+=+a%5E2+-+2ab+%2B+b%5E2
from above, we substitute to get
%28a-b%29%5E2+=+14+-+2%2A3
or
%28a-b%29%5E2+=+8