You can put this solution on YOUR website! To factor trinomials of this form:
step 1 - factor out the a from the first two terms to get
step 2 - take 1/2 of the middle term and square it. We get
step 3 - place a blank slot after c and we get
this blank slot is waiting for a number.
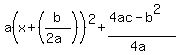
step 4 - multiply (b/2a)^2 by a and put that answer in the blank slot to get
step 5 rewrite the trinomial as a binomial squared as
we have our factored form for x.