SOLUTION: what is: (3x-3 / (2x-5)^2) / (2x^2+3x-5 / 4x^2-25)
Algebra
->
Polynomials-and-rational-expressions
-> SOLUTION: what is: (3x-3 / (2x-5)^2) / (2x^2+3x-5 / 4x^2-25)
Log On
Algebra: Polynomials, rational expressions and equations
Section
Solvers
Solvers
Lessons
Lessons
Answers archive
Answers
Click here to see ALL problems on Polynomials-and-rational-expressions
Question 257813
:
what is:
(3x-3 / (2x-5)^2) / (2x^2+3x-5 / 4x^2-25)
Answer by
drk(1908)
(
Show Source
):
You can
put this solution on YOUR website!
The original problem is given as:
step 1 - multiply by the reciprocal gets us
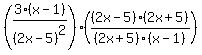
step 2 - factor to get
step 3 - cancel to get