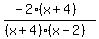
SOLUTION: -2x - 8 over x^2 + 2x - 8 reduce to lowest terms
Algebra
->
Polynomials-and-rational-expressions
-> SOLUTION: -2x - 8 over x^2 + 2x - 8 reduce to lowest terms
Log On
Algebra: Polynomials, rational expressions and equations
Section
Solvers
Solvers
Lessons
Lessons
Answers archive
Answers
Click here to see ALL problems on Polynomials-and-rational-expressions
Question 242088
:
-2x - 8 over x^2 + 2x - 8
reduce to lowest terms
Answer by
vleith(2983)
(
Show Source
):
You can
put this solution on YOUR website!