SOLUTION: Can you help me to simplify rational expressions. I can't figure out where to start and what order to go in. Thanks for all your help Simplify... x-1 x^4-1 x^2-1 ___

Algebra ->  Polynomials-and-rational-expressions -> SOLUTION: Can you help me to simplify rational expressions. I can't figure out where to start and what order to go in. Thanks for all your help Simplify... x-1 x^4-1 x^2-1 ___      Log On


   



Question 238772: Can you help me to simplify rational expressions. I can't figure out where to start and what order to go in. Thanks for all your help
Simplify...
x-1 x^4-1 x^2-1
____ x ______x ________ (this is all one problem)
x^2+1 (x-1)^2 x^4-2x^2+1

Answer by ankor@dixie-net.com(22740) About Me  (Show Source):
You can put this solution on YOUR website!
x-1 x^4-1 x^2-1
____ x ______x ________ (this is all one problem)
x^2+1 (x-1)^2 x^4-2x^2+1
:
Factor:
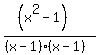
%28x-1%29%2F%28x%5E2%2B1%29 * %28%28x%5E2-1%29%28x%5E2%2B1%29%29%2F%28%28x-1%29%28x-1%29%29 * %28%28x-1%29%28x%2B1%29%29%2F%28%28x%5E2-1%29%28x%5E2-1%29%29
:
Cancel out the (x^2+1)'s
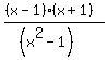
(x-1) * %28%28x%5E2-1%29%29%2F%28%28x-1%29%28x-1%29%29 * %28%28x-1%29%28x%2B1%29%29%2F%28%28x%5E2-1%29%28x%5E2-1%29%29
:
Cancel out the (x^2-1)
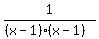
(x-1) * 1%2F%28%28x-1%29%28x-1%29%29 * %28%28x-1%29%28x%2B1%29%29%2F%28%28x%5E2-1%29%29
:
Cancel out the (x-1)'s
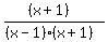
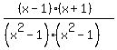
1 * %28%28x%2B1%29%29%2F%28%28x%5E2-1%29%29
:
we can factor (x^2-1)
%28%28x%2B1%29%29%2F%28%28x-1%29%28x%2B1%29%29%29
:
Cancel x+1
1%2F%28x-1%29 is all we have left, could you follow what we did here?