SOLUTION: Can you check to see if I have done this right? a^4(3a^2b)^3/(3ab^2)^-1 a^4(3^3a^6b^3)/3^-1a^-1b^-2= 24a^11b^5

Algebra ->  Polynomials-and-rational-expressions -> SOLUTION: Can you check to see if I have done this right? a^4(3a^2b)^3/(3ab^2)^-1 a^4(3^3a^6b^3)/3^-1a^-1b^-2= 24a^11b^5      Log On


   



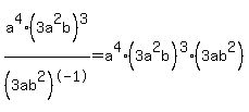
Question 227855: Can you check to see if I have done this right? a^4(3a^2b)^3/(3ab^2)^-1
a^4(3^3a^6b^3)/3^-1a^-1b^-2= 24a^11b^5

Answer by Alan3354(69443) About Me  (Show Source):
You can put this solution on YOUR website!
a%5E4%283a%5E2b%29%5E3%2F%283ab%5E2%29%5E-1+=+a%5E4%283a%5E2b%29%5E3%283ab%5E2%29
= a%5E4%283a%5E3b%29%5E3%2A3ab%5E2
= 81a%5E14b%5E5
------------
a^4(3^3a^6b^3)/3^-1a^-1b^-2= 24a^11b^5

a%5E4%283%5E3a%5E6b%5E3%29%2F3%5E-1a%5E-1b%5E-2=+24a%5E11b%5E5