SOLUTION: Hello, I am afraid Im looking into this too far. is 1-x^8 factorable? Thanks in advance for your help.

Algebra ->  Polynomials-and-rational-expressions -> SOLUTION: Hello, I am afraid Im looking into this too far. is 1-x^8 factorable? Thanks in advance for your help.      Log On


   



Question 227532: Hello,
I am afraid Im looking into this too far.
is 1-x^8 factorable?
Thanks in advance for your help.

Answer by jsmallt9(3758) About Me  (Show Source):
You can put this solution on YOUR website!
Yes.

Many factoring problems can be fairly complicated because there are so many factoring methods: GCF, patterns, trinomial factoring, factoring by grouping, and trial and error of possible rational roots.

But this problem only requires understanding of four things:
  • According to one of the rules for exponents, %28x%5Ey%29%5E2+=+x%5E%282y%29. On the left we have some expression squared. On the right we have an expression (a different one) with an even exponent. This tells us that any expression with an even exponent is the perfect square of another expression.
  • One of the patterns which can be used while factoring is a%5E2+-+b%5E2+=+%28a%2Bb%29%28a-b%29. This is called the difference of squares pattern which shows us how to factor the difference of the squares of any two expressions (since the "a" and the "b" in the pattern can be any expression).
  • Factoring is a bit like reducing fractions: You keep going until you can't go any farther.
  • 1+=+1%5E2

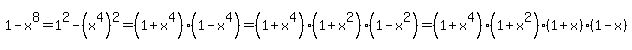
To factor 1-x%5E8 power we have to "see" that this is a difference of two squares. We have the difference of 1, which is 1%5E2, and x%5E8 which has an even exponent so it is the square of x%5E4! So the "a" in the pattern will be 1 and the "b" will be x%5E4:
1-x%5E8+=+1%5E2+-+%28x%5E4%29%5E2+=+%281%2Bx%5E4%29%281-x%5E4%29
Good so far. But we're not finished! We have a new difference of squares: 1 and x%5E4! The "a" is still 1 but the "b" this time is x%5E2. Using the pattern again on the second factor we get:

And guess what? We have yet another difference of squares: 1-x%5E2. So use the pattern yet again:

And finally we're done. There is no more factoring which can be done. (There is no such thing as a "sum of squares" pattern. Nor will the "1+..." factors factor using any other factoring technique.)