SOLUTION: {{{(2/3)(11x-1/6)-3/4=1/4}}}

Algebra ->  Polynomials-and-rational-expressions -> SOLUTION: {{{(2/3)(11x-1/6)-3/4=1/4}}}      Log On


   



Question 225217: %282%2F3%29%2811x-1%2F6%29-3%2F4=1%2F4
Answer by LtAurora(115) About Me  (Show Source):
You can put this solution on YOUR website!
%282%2F3%29%2811x-1%2F6%29-3%2F4=1%2F4
First thing to do is move the -3%2F4 to the other side by adding it to both sides:
%282%2F3%29%2811x-1%2F6%29-3%2F4%2B3%2F4=1%2F4%2B3%2F4
%282%2F3%29%2811x-1%2F6%29=1
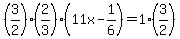
To get rid of the 2%2F3, multiply both sides by 3%2F2
%283%2F2%29%282%2F3%29%2811x-1%2F6%29=1%283%2F2%29
%2811x-1%2F6%29=3%2F2
We can then drop the parentheses and move the -1%2F6 over by adding it to both sides:
11x-1%2F6%2B1%2F6=3%2F2%2B1%2F6
We need to get a common denominater on the right side so:
11x=9%2F6%2B1%2F6
Then we can combine the right hand side:
11x=10%2F6
11x=5%2F3
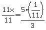
Next we need to divide both sides by 11:
11x%2F11=5%2F3%2A%281%2F11%29
(Multiplying by 1%2F11 is the same thing as dividing by 11.)
So:
x=5%2F33
When plugged back into the original equation, this checks out and gives us 1%2F4 back.