SOLUTION: please help me solve {{{(x^3-3x^2+x-3)/(x^2+1)}}}

Algebra ->  Polynomials-and-rational-expressions -> SOLUTION: please help me solve {{{(x^3-3x^2+x-3)/(x^2+1)}}}      Log On


   



Question 225063: please help me solve %28x%5E3-3x%5E2%2Bx-3%29%2F%28x%5E2%2B1%29
Found 2 solutions by Edwin McCravy, LtAurora:
Answer by Edwin McCravy(20060) About Me  (Show Source):
You can put this solution on YOUR website!
%28x%5E3-3x%5E2%2Bx-3%29%2F%28x%5E2%2B1%29

There are two methods.

Method 1: Long division:

You must insert +0x2 in the divisor (denominator):

                        x - 3                   
           ------------------
x2 + 0x + 1)x3 - 3x2 +  x - 3
            x3 + 0x2 +  x
            -------------
               - 3x2 + 0x - 3
               - 3x2 - 0x - 3
               --------------
                            0

Answer: x - 3

Method 2:  Factoring by grouping:

%28x%5E3-3x%5E2%2Bx-3%29%2F%28x%5E2%2B1%29

Factor x%5E2 out of the first two terms in the numerator:

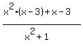
%28x%5E2%28x-3%29%2Bx-3%29%2F%28x%5E2%2B1%29

Factor %22%22%2B1 out of the last two terms of the numerator:

%28x%5E2%28x-3%29%2B1%28x-3%29%29%2F%28x%5E2%2B1%29

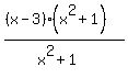
Factor %28x-3%29 out of the two terms in the numerator:

%28%28x%5E2%2B1%29%28x-3%29%29%2F%28x%5E2%2B1%29

Cancel the x%5E2%2B1's

%28cross%28%28x%5E2%2B1%29%29%28x-3%29%29%2Fcross%28%28x%5E2%2B1%29%29

x-3

Edwin

Answer by LtAurora(115) About Me  (Show Source):
You can put this solution on YOUR website!
Using synthetic division we can factor the numerator:
(Disregard the periods, I was trying to get the spacing to look a bit better).
3|1 -3 1 -3
..|..+3 0 +3
-----------
....1 0 1 0
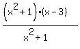
Thus the numerator is: %28x-3%29%28x%5E2%2B1%29
So, our fraction is:
%28%28x-3%29%28x%5E2%2B1%29%29%2F%28x%5E2%2B1%29
The %28x%5E2%2B1%29 cancels to leave us with:
%28x-3%29