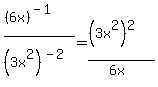
SOLUTION: (6x)^-1/ (3x^2)^-2 answer: 3x^3/2 anyone knows why the answer is 3x^3/2 showing definitions and rules for exponents i got as far as (3x^2)^2/ (6x)^1 negative to pos

Algebra ->  Polynomials-and-rational-expressions -> SOLUTION: (6x)^-1/ (3x^2)^-2 answer: 3x^3/2 anyone knows why the answer is 3x^3/2 showing definitions and rules for exponents i got as far as (3x^2)^2/ (6x)^1 negative to pos      Log On


   



Question 219594: (6x)^-1/ (3x^2)^-2


answer: 3x^3/2

anyone knows why the answer is 3x^3/2 showing definitions and rules for exponents i got as far as (3x^2)^2/ (6x)^1 negative to positive rules then i got stuck can anyone help

Answer by Earlsdon(6294) About Me  (Show Source):