SOLUTION: Please simplify: 4x^2 + 4x + 1 /(1-4x^2)

Algebra ->  Polynomials-and-rational-expressions -> SOLUTION: Please simplify: 4x^2 + 4x + 1 /(1-4x^2)       Log On


   



Question 218262: Please simplify:
4x^2 + 4x + 1 /(1-4x^2)

Answer by drj(1380) About Me  (Show Source):
You can put this solution on YOUR website!
Please simplify:
4x%5E2+%2B+4x+%2B+1%2F%281-4x%5E2%29

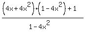
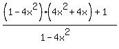
Step 1. Multiply by %281-4x%5E2%29%2F%281-4x%5E2%29=1 to put expression in a common denominator

%28%281-4x%5E2%29%2A%284x%5E2%2B4x%29%2B1%29%2F%281-4x%5E2%29=%28%284x%2B4x%5E2%29%281-4x%5E2%29%2B1%29%2F%281-4x%5E2%29

Step 2. Use FOIL method to multiply out the terms.

%284x-16x%5E3%2B4x%5E2-16x%5E4%2B1%29%2F%281-4x%5E2%29

Step 3. Arrange numerator and denominator in descending order

%28-16x%5E4-16x%5E3%2B4x%5E2%2B4x%2B1%29%2F%28-4x%5E2%2B1%29

Step 4. ANSWER is

I hope the above steps were helpful.

For FREE Step-By-Step videos in Introduction to Algebra, please visit http://www.FreedomUniversity.TV/courses/IntroAlgebra and for Trigonometry visit http://www.FreedomUniversity.TV/courses/Trigonometry.

And good luck in your studies!

Respectfully,
Dr J