SOLUTION: Can somebody please help me simplify: {{{(((x+1)/(x-1)+1)/((x+1)/(x-1)-1))^5}}} Thank you.

Algebra ->  Polynomials-and-rational-expressions -> SOLUTION: Can somebody please help me simplify: {{{(((x+1)/(x-1)+1)/((x+1)/(x-1)-1))^5}}} Thank you.      Log On


   



Question 207832This question is from textbook Introductory Algebra
: Can somebody please help me simplify:
%28%28%28x%2B1%29%2F%28x-1%29%2B1%29%2F%28%28x%2B1%29%2F%28x-1%29-1%29%29%5E5
Thank you.
This question is from textbook Introductory Algebra

Found 2 solutions by Alan3354, MathTherapy:
Answer by Alan3354(69443) About Me  (Show Source):
You can put this solution on YOUR website!
%28%28%28x%2B1%29%2F%28x-1%29%2B1%29%2F%28%28x%2B1%29%2F%28x-1%29-1%29%29%5E5
=
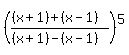
= %28%28%28x%2B1%29%2B%28x-1%29%29%2F%28%28x%2B1%29-%28x-1%29%29%29%5E5
= ((2x/(-2))^5
= (-x)^5
= -x^5

Answer by MathTherapy(10552) About Me  (Show Source):