SOLUTION: factoring trinomials completely a^2+20a+100 (?)^2

Algebra ->  Polynomials-and-rational-expressions -> SOLUTION: factoring trinomials completely a^2+20a+100 (?)^2      Log On


   



Question 207720This question is from textbook
: factoring trinomials completely
a^2+20a+100 (?)^2
This question is from textbook

Answer by jim_thompson5910(35256) About Me  (Show Source):
You can put this solution on YOUR website!


Jump to Answer


Looking at the expression a%5E2%2B20a%2B100, we can see that the first coefficient is 1, the second coefficient is 20, and the last term is 100.


Now multiply the first coefficient 1 by the last term 100 to get %281%29%28100%29=100.


Now the question is: what two whole numbers multiply to 100 (the previous product) and add to the second coefficient 20?


To find these two numbers, we need to list all of the factors of 100 (the previous product).


Factors of 100:
1,2,4,5,10,20,25,50,100
-1,-2,-4,-5,-10,-20,-25,-50,-100


Note: list the negative of each factor. This will allow us to find all possible combinations.


These factors pair up and multiply to 100.
1*100 = 100
2*50 = 100
4*25 = 100
5*20 = 100
10*10 = 100
(-1)*(-100) = 100
(-2)*(-50) = 100
(-4)*(-25) = 100
(-5)*(-20) = 100
(-10)*(-10) = 100

Now let's add up each pair of factors to see if one pair adds to the middle coefficient 20:


First NumberSecond NumberSum
11001+100=101
2502+50=52
4254+25=29
5205+20=25
101010+10=20
-1-100-1+(-100)=-101
-2-50-2+(-50)=-52
-4-25-4+(-25)=-29
-5-20-5+(-20)=-25
-10-10-10+(-10)=-20



From the table, we can see that the two numbers 10 and 10 add to 20 (the middle coefficient).


So the two numbers 10 and 10 both multiply to 100 and add to 20


Now replace the middle term 20a with 10a%2B10a. Remember, 10 and 10 add to 20. So this shows us that 10a%2B10a=20a.


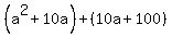
a%5E2%2Bhighlight%2810a%2B10a%29%2B100 Replace the second term 20a with 10a%2B10a.


%28a%5E2%2B10a%29%2B%2810a%2B100%29 Group the terms into two pairs.


a%28a%2B10%29%2B%2810a%2B100%29 Factor out the GCF a from the first group.


a%28a%2B10%29%2B10%28a%2B10%29 Factor out 10 from the second group. The goal of this step is to make the terms in the second parenthesis equal to the terms in the first parenthesis.


%28a%2B10%29%28a%2B10%29 Combine like terms. Or factor out the common term a%2B10


%28a%2B10%29%5E2 Condense the terms.


===============================================================



Answer:


So a%5E2%2B20a%2B100 factors to %28a%2B10%29%5E2.


In other words, a%5E2%2B20a%2B100=%28a%2B10%29%5E2.


Note: you can check the answer by expanding %28a%2B10%29%5E2 to get a%5E2%2B20a%2B100 or by graphing the original expression and the answer (the two graphs should be identical).

Jump to Top