SOLUTION: Please help me multiply this equation: {{{(x-1)/(x^2+1)}}} * {{{(x^4-1)/(x-1)^2}}} * {{{(x^2-1)/(x^4-2x^2+1)}}} Thank you.

Algebra ->  Polynomials-and-rational-expressions -> SOLUTION: Please help me multiply this equation: {{{(x-1)/(x^2+1)}}} * {{{(x^4-1)/(x-1)^2}}} * {{{(x^2-1)/(x^4-2x^2+1)}}} Thank you.      Log On


   



Question 207340This question is from textbook Introductory Algebra
: Please help me multiply this equation:
%28x-1%29%2F%28x%5E2%2B1%29 * %28x%5E4-1%29%2F%28x-1%29%5E2 * %28x%5E2-1%29%2F%28x%5E4-2x%5E2%2B1%29
Thank you.
This question is from textbook Introductory Algebra

Found 2 solutions by ankor@dixie-net.com, Alan3354:
Answer by ankor@dixie-net.com(22740) About Me  (Show Source):
You can put this solution on YOUR website!
%28x-1%29%2F%28x%5E2%2B1%29 * %28x%5E4-1%29%2F%28x-1%29%5E2 * %28x%5E2-1%29%2F%28x%5E4-2x%5E2%2B1%29
Factor
%28x-1%29%2F%28x%5E2%2B1%29 * %28%28x%5E2-1%29%28x%5E2%2B1%29%29%2F%28%28x-1%29%28x-1%29%29 * %28%28x%2B1%29%28x-1%29%29%2F%28%28x%5E2-1%29%28x%5E2-1%29%29
:
Cancel the (x-1)'s, leaving:
1%2F%28x%5E2%2B1%29 * %28x%5E2-1%29%28x%5E2%2B1%29%29 * %28%28x%2B1%29%29%2F%28%28x%5E2-1%29%28x%5E2-1%29%29
:
Cancel the (x^2 + 1)
1 * %28x%5E2-1%29 * %28%28x%2B1%29%29%2F%28%28x%5E2-1%29%28x%5E2-1%29%29
:
Cancel (x^2-1)
1 * %28%28x%2B1%29%29%2F%28%28x%5E2-1%29%29
:
x^2 - 1 can be factored
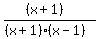
%28%28x%2B1%29%29%2F%28%28x%2B1%29%28x-1%29%29
:
Cancel (x+1)
1%2F%28x-1%29

Answer by Alan3354(69443) About Me  (Show Source):
You can put this solution on YOUR website!
Please help me multiply this equation:
%28x-1%29%2F%28x%5E2%2B1%29 * %28x%5E4-1%29%2F%28x-1%29%5E2 * %28x%5E2-1%29%2F%28x%5E4-2x%5E2%2B1%29
-----------
Cancel out the 1st (x-1) and the one in the DEN of the 2nd term.
= 1%2F%28x%5E2%2B1%29 * %28x%5E4-1%29%2F%28x-1%29 * %28x%5E2-1%29%2F%28x%5E4-2x%5E2%2B1%29
x%5E2-1 the NUM in the last term = (x-1)*(x+1). Cancel the (x-1) with the DEN of the middle term.
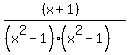
= 1%2F%28x%5E2%2B1%29 * %28x%5E4-1%29%2F1 * %28x%2B1%29%2F%28x%5E4-2x%5E2%2B1%29
= %28x%5E4-1%29%2F%28x%5E2%2B1%29 * %28x%2B1%29%2F%28x%5E4-2x%5E2%2B1%29
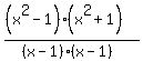
= %28x%5E2-1%29%2F1 * %28x%2B1%29%2F%28x%5E4-2x%5E2%2B1%29
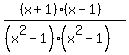
= %28x%5E2-1%29%2F1 * %28x%2B1%29%2F%28x%5E2-1%29%5E2
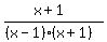
= %28x%2B1%29%2F%28x%5E2-1%29
= %28x%2B1%29%2F%28%28x-1%29%2A%28x%2B1%29%29
= 1/(x-1)