SOLUTION: Solve: (2/(2x + 26)) - (1/(7x + 1)) = 0

Algebra ->  Polynomials-and-rational-expressions -> SOLUTION: Solve: (2/(2x + 26)) - (1/(7x + 1)) = 0      Log On


   



Question 207156: Solve: (2/(2x + 26)) - (1/(7x + 1)) = 0
Answer by jsmallt9(3758) About Me  (Show Source):
You can put this solution on YOUR website!
Let's start by reducing fractions. This will make the equation simpler and easier to solve. To reduce fractions we cancel comon factors. To cancel common factors we need to express numerators and denominators in factored form.
The first fraction will reduce:
%282%2F%282x+%2B+26%29%29+-+%281%2F%287x+%2B+1%29%29+=+0
Factoring out a 2 from the top and bottom of the first fraction:
%28%282%2A1%29%2F%282%28x+%2B+13%29%29%29+-+%281%2F%287x+%2B+1%29%29+=+0
Now the 2's cancel in the first fraction giving:
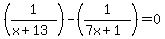
%281%2F%28x+%2B+13%29%29+-+%281%2F%287x+%2B+1%29%29+=+0
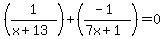
To make things easier, I'll change the subtraction to addition:
%281%2F%28x+%2B+13%29%29+%2B+%28%28-1%29%2F%287x+%2B+1%29%29+=+0
Now we can proceed with this simpler equation. Next we will eliminate the fractions by multiplying both sides of the equation by the LCM of the denominators. The LCM of the denominators, since they have no common factors, is simply the product of the two: (x+13)(7x+1). So this is what we will multiply both sides by:

Using the distributive property on the left:

On the left, the (x+13)'s cancel and on the right side (of the left side of the equation), the (7x+1)'s cancel giving:
%287x%2B1%29%281%29+%2B+%28x%2B13%29%28-1%29+=+0
Simplifying:
7x+%2B+1+%2B+%28-x%29+%2B+%28-13%29+=+0
6x+%2B+%28-12%29+=+0
Now we have a fairly simple equation to solve. Add 12 to both sides:
6x+=+12
Divide both sides by 6 and we have our solution:
x+=+2
We can check the solution by substituting a "2" in for x into the orginal equation to see if it works. (I'll leave it up to you to check.)