SOLUTION: Could you please help me out with this problem???? Simplify z^2-4z-5 --------- z^2-3z-4 ----------- z^2+9z+14 --------- z^2-2z-8 Thanks for

Algebra ->  Polynomials-and-rational-expressions -> SOLUTION: Could you please help me out with this problem???? Simplify z^2-4z-5 --------- z^2-3z-4 ----------- z^2+9z+14 --------- z^2-2z-8 Thanks for      Log On


   



Question 206051: Could you please help me out with this problem????
Simplify
z^2-4z-5
---------
z^2-3z-4
------------
z^2+9z+14
---------
z^2-2z-8 Thanks for any help your able to give!!

Answer by jim_thompson5910(35256) About Me  (Show Source):
You can put this solution on YOUR website!

%28%28z%5E2-4z-5%29%2F%28z%5E2-3z-4%29%29%2F%28%28z%5E2%2B9z%2B14%29%2F%28z%5E2-2z-8%29%29 Start with the given expression.


%28%28z%5E2-4z-5%29%2F%28z%5E2-3z-4%29%29%28%28z%5E2-2z-8%29%2F%28z%5E2%2B9z%2B14%29%29 Multiply the first fraction %28z%5E2-4z-5%29%2F%28z%5E2-3z-4%29 by the reciprocal of the second fraction %28z%5E2%2B9z%2B14%29%2F%28z%5E2-2z-8%29.


Factor z%5E2-4z-5 to get %28z%2B1%29%2A%28z-5%29.


Factor z%5E2-3z-4 to get %28z%2B1%29%2A%28z-4%29.


Factor z%5E2-2z-8 to get %28z%2B2%29%2A%28z-4%29.


Factor z%5E2%2B9z%2B14 to get %28z%2B7%29%2A%28z%2B2%29.


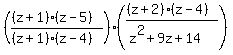
Combine the fractions.


Highlight the common terms.


Cancel out the common terms.


%28z-5%29%2F%28z%2B7%29 Simplify.


So %28%28z%5E2-4z-5%29%2F%28z%5E2-3z-4%29%29%2F%28%28z%5E2%2B9z%2B14%29%2F%28z%5E2-2z-8%29%29 simplifies to %28z-5%29%2F%28z%2B7%29.


In other words,