SOLUTION: 8x^2+6x-2/16x^2-1

Algebra ->  Polynomials-and-rational-expressions -> SOLUTION: 8x^2+6x-2/16x^2-1      Log On


   



Question 203821: 8x^2+6x-2/16x^2-1
Answer by jsmallt9(3758) About Me  (Show Source):
You can put this solution on YOUR website!
%288x%5E2%2B6x-2%29%2F%2816x%5E2-1%29
The only thing you can do with this is to reduce the fraction. You reduce fractions by canceling common factors. So we need to factor the numerator and denominator to see if there are common factors.

We'll factor the numerator and denominator separately and then putthem back into the fraction:
8x%5E2+%2B6x+-2
When factoring wlways start with the Greatest Common Factor (GCF) if it is not 1. The GCF here is 2. Factoring out 2 we get:
2%284x%5E2+%2B+3x+-+1%29
When factoring never stop until you cannot go any further. So we will continue to factor. After the GCF, there are a variety of factoring techniques which can be used: patterns, trinomials, grouping, trial-and-error of possible rational roots. Try any and all of these, repeatedly if possible, until you can't factor any further. The second factor above will factor as a trinomial:
2%284x+-+1%29%28x+%2B+1%29
Since we cannot factor this any further we are finished factoring the numerator. Moving on to the denominator:
16x%5E2+-+1
The GCF here is 1 and you rarely bother to factor a 1. Next we mow on to the other techniques (listed above). Hopefully you will notice that the denominator fits the "Difference of Squares" pattern: a%5E2+-+b%5E2+=+%28a+%2B+b%29%28a+-+b%29}:
%284x%29%5E2+-+%281%29%5E2+=+%284x+%2B+1%29%284x+-+1%29
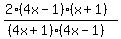
This cannot be factored any further so we are done factoring. Now let's put the factored forms of the numerator and denominator back together:
%282%284x+-+1%29%28x+%2B+1%29%29%2F%28%284x+%2B+1%29%284x+-+1%29%29
The (4x - 1)'s cancel leaving:
%282%28x+%2B+1%29%29%2F%284x+%2B+1%29
The only thing left to do is to multiply out the remaining factors of the numerator:
%282x+%2B+2%29%2F%284x+%2B+1%29