|
Question 202693: Solve involving fundamental operations on polyinomials.
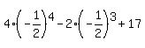
1. Find P(-1/2) if P(x)= 4x^4-2x^3+17
2. Divide: (3x^3-x^2+10x-4)/(x+3)
Factor completely
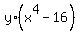
x^4y-16y
Answer by jsmallt9(3758) (Show Source):
You can put this solution on YOUR website! 1. Find P(-1/2) if P(x)= 4x^4-2x^3+17
The straightforward way to do this is to substitute -1/2 in for the x:
P(-1/2) = 
and then simplify. I'll leave it up to you to finish this.
But I am going to show you a different way: Using Synthetic Division (partly because I am also going to use it for your second problem). A quick summary of Synthetic Division:- Write the coefficients of the polynomial, include zeros for missing terms
- Leave a blank line underneath
Draw a horizontal line (we'll be doing some adding)- Copy down the first coefficient underneath itself below the line
- Repeat the following until you reach the end:
- Multiply the last number you wrote by "the number" (which I will explain later)
- Write the product under the next coefficient (up and to the right)
- Add this number to the coefficient above and write the sum under the line.
- The last number you write will be the remainder.
When you use Synthetic Division for the purpose of finding a function value, like P(-1/2), "the number" will be the x-value and the remainder will be the value of the function for that x-value. So in your problem, "the number" will be -1/2 and the remainder will be P(-1/2). Here's the solution (Note the zeros for the missing x^2 and x terms):
4 -2 0 0 17
-2 2 -1 -0.5
---------------------
4 -4 2 -1 16.5
We started by copying down the 4. Then we multiplied by (-1/2) and wrote the product under the next coefficient. We added getting -4. Then we multiplied -4 by -1/2 and wrote the product under the next coefficient, etc. until we got to the end. The remainder is the last number, 16.5 ( ). So P(-1/2) = 16.5.
2. Divide: (3x^3-x^2+10x-4)/(x+3)
There is such a thing as long division with polynomials. But this is long and tedious and it would be very difficult for me to show you how using Algebra.com's software. So again we will use Synthetic Division.
When using Synthetic Division to actually divide a polynomial, you need to be able to write the divisor in the form: (x-c). Once this is done, c will be "the number". After we divide, the last number is the remainder. As usual in division, if the remainder is 0, then the polynomial divided evenly. And the numbers in front of the remainder are the coefficients of the quotient!
Let's try this on your problem. First we need to express (x+3) in the form (x-c). This can be done in the following way: (x+3) = (x-(-3)). So c, "the number", will be -3. Let's divide:
3 -1 10 -4
-9 30 -120
------------------
3 -10 40 -124
The remainder is not zero so the polynomial did not divide evenly. But we still write the quotient with a remainder. Like we do when we get a remainder when dividing numbers, just put the remainder over the divisor.:

Note how we used the numbers that are in front of the remainder in the Synthetic Division.
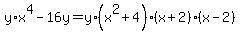
Factor completely: x^4y-16y
Whenever you factor, always factor out the Greatest Common Factor (GCF) first (if it is not 1). So we start by factoring out the GCF of which is y. Factoring out y gives:

Next we apply any other factoring techniques which apply. You have probably been exposed to most, if not all, of the following:- Factoring by patterns. The following patterns are commonly taught:
- Difference of squares:
 - Difference of cubes:
 - Sum of cubes:
 The key in factoring using patterns is to be able to recognize perfect squares and/or perfect cubes. - Factoring trinomials of the form
 - Factoring by grouping
- Factoring by trial and error using the possible rational roots (which is most often done using Synthetic Division!)
There is no set order one should always use. Use whatever works. But the first two techniques above are, perhaps, easier, so start with those. is not a trinaomial so that technique cannot be used. But it is a difference of squares! . So now we have:

In one way factoring is like reducing fractions: Do it until you can't do it any more. We need to keep trying to factor until we can't factor any more. is a sum of squares but there is no pattern for sum of squares. And since none of the other techniques listed work on either, it will not factor any more.
But the remaining factor, is a difference of squares so we can factor it using that pattern into . Now we have:

Since none of these factors will factor any further we are done!

(Remember, since multiplication is commutative, the order of these 4 factor is not important.)
|
|
|
| |