SOLUTION: please help with step by step 21x^2-49x-42 over 4x^2-28x+48 divided by 21x+14 over 8x^2-32x
Algebra
->
Polynomials-and-rational-expressions
-> SOLUTION: please help with step by step 21x^2-49x-42 over 4x^2-28x+48 divided by 21x+14 over 8x^2-32x
Log On
Algebra: Polynomials, rational expressions and equations
Section
Solvers
Solvers
Lessons
Lessons
Answers archive
Answers
Click here to see ALL problems on Polynomials-and-rational-expressions
Question 200970
:
please help with step by step 21x^2-49x-42 over 4x^2-28x+48 divided by 21x+14 over 8x^2-32x
Answer by
jim_thompson5910(35256)
(
Show Source
):
You can
put this solution on YOUR website!
Start with the given expression.
Multiply the first fraction
by the reciprocal of the second fraction
.
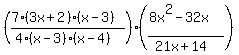
Factor
to get
.
Factor
to get
.
Factor
to get
.
Factor
to get
.
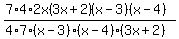
Combine the fractions.
Highlight the common terms.
Cancel out the common terms.
Simplify.
So
simplifies to
.
In other words,