SOLUTION: what is the step by step solution 3/x+1/4=5/8
Algebra
->
Polynomials-and-rational-expressions
-> SOLUTION: what is the step by step solution 3/x+1/4=5/8
Log On
Algebra: Polynomials, rational expressions and equations
Section
Solvers
Solvers
Lessons
Lessons
Answers archive
Answers
Click here to see ALL problems on Polynomials-and-rational-expressions
Question 200521
:
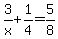
what is the step by step solution 3/x+1/4=5/8
Answer by
vleith(2983)
(
Show Source
):
You can
put this solution on YOUR website!
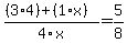
get the left side over a common denominator
Check your answer
Does 3/8 + 1/4 = 5/8?
Does 3/8 + 2/8 = 5/8?