SOLUTION: Please help me solve this equation: x/x^2-4 + 2/x-2= 1/x+2

Algebra ->  Polynomials-and-rational-expressions -> SOLUTION: Please help me solve this equation: x/x^2-4 + 2/x-2= 1/x+2      Log On


   



Question 198865This question is from textbook McDougal Littell Algebra 1
: Please help me solve this equation:
x/x^2-4 + 2/x-2= 1/x+2
This question is from textbook McDougal Littell Algebra 1

Found 2 solutions by jim_thompson5910, MathLover1:
Answer by jim_thompson5910(35256) About Me  (Show Source):
You can put this solution on YOUR website!

%28x%29%2F%28x%5E2-4%29%2B%282%29%2F%28x-2%29=%281%29%2F%28x%2B2%29 Start with the given equation.


%28x%29%2F%28%28x%2B2%29%28x-2%29%29%2B%282%29%2F%28x-2%29=%281%29%2F%28x%2B2%29 Factor the first denominator.


Multiply every term on both sides by the LCD %28x-2%29%28x%2B2%29. Doing this will eliminate all of the fractions.


x%2B2%28x%2B2%29=1%28x-2%29 Simplify


x%2B2x%2B4=x-2 Distribute.


3x%2B4=x-2 Combine like terms on the left side.


3x=x-2-4 Subtract 4 from both sides.


3x-x=-2-4 Subtract x from both sides.


2x=-2-4 Combine like terms on the left side.


2x=-6 Combine like terms on the right side.


x=%28-6%29%2F%282%29 Divide both sides by 2 to isolate x.


x=-3 Reduce.


----------------------------------------------------------------------

Answer:

So the solution is x=-3

Answer by MathLover1(20850) About Me  (Show Source):
You can put this solution on YOUR website!

x%2F%28x%5E2-4%29+%2B+2%2F%28x-2%29=+1%2F%28x%2B2%29
x%2F%28x%5E2-2%5E2%29+%2B+2%2F%28x-2%29=+1%2F%28x%2B2%29
x%2F%28x-2%29%28x%2B2%29+%2B+2%2F%28x-2%29=+1%2F%28x%2B2%29

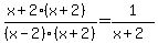
%28x%2B2%28x%2B2%29%29%2F%28x-2%29%28x%2B2%29+=+1%2F%28x%2B2%29
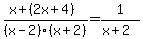
%28x%2B%282x%2B4%29%29%2F%28x-2%29%28x%2B2%29+=+1%2F%28x%2B2%29
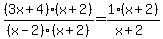
%283x%2B4%29%2F%28x-2%29%28x%2B2%29+=+1%2F%28x%2B2%29....both sides multiply by %28x%2B2%29
%283x%2B4%29%28x%2B2%29%2F%28x-2%29%28x%2B2%29+=+1%28x%2B2%29%2F%28x%2B2%29
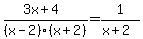
%283x%2B4%29%2F%28x-2%29+=+1
3x%2B4=x-2
3x+-+x+=+-2+-4
2x+=+-6
x+=+-6%2F2
x+=+-3