SOLUTION: please help me solve this 8y^4+12y^2-176 divided by 2y-4

Algebra ->  Polynomials-and-rational-expressions -> SOLUTION: please help me solve this 8y^4+12y^2-176 divided by 2y-4      Log On


   



Question 198848: please help me solve this

8y^4+12y^2-176 divided by 2y-4

Answer by jim_thompson5910(35256) About Me  (Show Source):
You can put this solution on YOUR website!
%288y%5E4%2B12y%5E2-176%29%2F%282y-4%29 Start with the given expression.


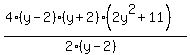
%284%28y-2%29%28y%2B2%29%282y%5E2%2B11%29%29%2F%282y-4%29 Factor the numerator


%284%28y-2%29%28y%2B2%29%282y%5E2%2B11%29%29%2F%282%28y-2%29%29 Factor the denominator


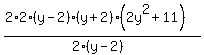
%282%2A2%28y-2%29%28y%2B2%29%282y%5E2%2B11%29%29%2F%282%28y-2%29%29 Factor 4 to get 2*2


Cancel out the common terms.


2%28y%2B2%29%282y%5E2%2B11%29 Simplify


4y%5E3%2B22y%2B8y%5E2%2B44 Expand and multiply


So %288y%5E4%2B12y%5E2-176%29%2F%282y-4%29=4y%5E3%2B22y%2B8y%5E2%2B44 where y%3C%3E2