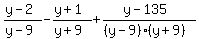
SOLUTION: Perform the indicated operations and simplify.
{{{(y-2)/(y-9) - (y+1)/(y+9) + (y-135)/(y^2-81)}}}
I got {{{41/18}}} as an answer but do not think this is correct.
Algebra ->
Polynomials-and-rational-expressions
-> SOLUTION: Perform the indicated operations and simplify.
{{{(y-2)/(y-9) - (y+1)/(y+9) + (y-135)/(y^2-81)}}}
I got {{{41/18}}} as an answer but do not think this is correct.
Log On