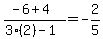
SOLUTION: What is -6 + 4 divided by 3(2) - 1 ?
Algebra
->
Polynomials-and-rational-expressions
-> SOLUTION: What is -6 + 4 divided by 3(2) - 1 ?
Log On
Algebra: Polynomials, rational expressions and equations
Section
Solvers
Solvers
Lessons
Lessons
Answers archive
Answers
Click here to see ALL problems on Polynomials-and-rational-expressions
Question 197012
:
What is -6 + 4 divided by 3(2) - 1 ?
Answer by
Mathtut(3670)
(
Show Source
):
You can
put this solution on YOUR website!