SOLUTION: Multiply and Simplify: 2x^2-x-3 over x^2-1 * x^2+x-2 over 2x^2 +x-6
Algebra
->
Polynomials-and-rational-expressions
-> SOLUTION: Multiply and Simplify: 2x^2-x-3 over x^2-1 * x^2+x-2 over 2x^2 +x-6
Log On
Algebra: Polynomials, rational expressions and equations
Section
Solvers
Solvers
Lessons
Lessons
Answers archive
Answers
Click here to see ALL problems on Polynomials-and-rational-expressions
Question 195843
:
Multiply and Simplify: 2x^2-x-3 over x^2-1 * x^2+x-2 over 2x^2 +x-6
Answer by
jim_thompson5910(35256)
(
Show Source
):
You can
put this solution on YOUR website!
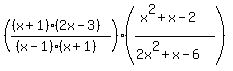
Start with the given expression.
Factor
to get
.
Factor
to get
.
Factor
to get
.
Factor
to get
.
Combine the fractions.
Highlight the common terms.
Cancel out the common terms.
Simplify.
So
simplifies to
.
In other words,
where
,
,
, or