SOLUTION: x^2+5x+6 4x solve for x --------.-- x^2-4x x+2

Algebra ->  Polynomials-and-rational-expressions -> SOLUTION: x^2+5x+6 4x solve for x --------.-- x^2-4x x+2       Log On


   



Question 195124: x^2+5x+6 4x solve for x
--------.--
x^2-4x x+2

Answer by jim_thompson5910(35256) About Me  (Show Source):
You can put this solution on YOUR website!
You can't solve for "x" (this is not an equation), but you can simplify.


%28%28x%5E2%2B5x%2B6%29%2F%28x%5E2-4x%29%29%28%284x%29%2F%28x%2B2%29%29 Start with the given expression.


%28%28%28x%2B3%29%2A%28x%2B2%29%29%2F%28x%5E2-4x%29%29%28%284x%29%2F%28x%2B2%29%29 Factor x%5E2%2B5x%2B6 to get %28x%2B3%29%2A%28x%2B2%29.


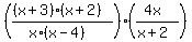
%28%28%28x%2B3%29%2A%28x%2B2%29%29%2F%28x%2A%28x-4%29%29%29%28%284x%29%2F%28x%2B2%29%29 Factor x%5E2-4x to get x%2A%28x-4%29.


%284x%28x%2B3%29%28x%2B2%29%29%2F%28x%28x-4%29%28x%2B2%29%29 Combine the fractions.


Highlight the common terms.


Cancel out the common terms.


%284%28x%2B3%29%29%2F%28x-4%29 Simplify.


%284x%2B12%29%2F%28x-4%29 Distribute


So %28%28x%5E2%2B5x%2B6%29%2F%28x%5E2-4x%29%29%28%284x%29%2F%28x%2B2%29%29 simplifies to %284x%2B12%29%2F%28x-4%29.


In other words, where x%3C%3E-2, x%3C%3E0, or x%3C%3E4