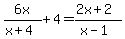
SOLUTION: Need help solving {{{6x/(x+4)+4=(2x+2)/(x-1)}}}

Algebra ->  Polynomials-and-rational-expressions -> SOLUTION: Need help solving {{{6x/(x+4)+4=(2x+2)/(x-1)}}}      Log On


   



Question 194759This question is from textbook Algebra 2
: Need help solving 6x%2F%28x%2B4%29%2B4=%282x%2B2%29%2F%28x-1%29 This question is from textbook Algebra 2

Answer by edjones(8007) About Me  (Show Source):
You can put this solution on YOUR website!
6x%2F%28x%2B4%29%2B4=%282x%2B2%29%2F%28x-1%29
6x(x-1)+4(x+4)(x-1)=(2x+2)(x+4) Multiply each side by (x+4)(x-1) to eliminate fractions.
6x^2-6x+4x^2+12x-16=2x^2+10x+8
8x^2-4x-24=0
4(2x^2-x-6)=0
2x^2-4x+3x-6=0
2x(x-2)+3(x-2)=0
(2x+3)(x-2)=0
.
2x=-3
x=-3/2
.
x=2
.
Ed