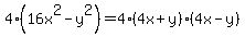
SOLUTION: says to factor the binomial completely 64x^2-4y^2
Algebra
->
Polynomials-and-rational-expressions
-> SOLUTION: says to factor the binomial completely 64x^2-4y^2
Log On
Algebra: Polynomials, rational expressions and equations
Section
Solvers
Solvers
Lessons
Lessons
Answers archive
Answers
Click here to see ALL problems on Polynomials-and-rational-expressions
Question 190863
:
says to factor the binomial completely
64x^2-4y^2
Answer by
Mathtut(3670)
(
Show Source
):
You can
put this solution on YOUR website!